Zum Inhalt springen
  • Notfall
  • NAT-Wiki
  • TUMonline
  • Moodle
  • Webmail
  • Webdisk
  • e-Journals
  • App Server
  • CIP Pool
  • de
  • en
  • TUM School of Natural Sciences
  • Technische Universität München
Technische Universität München
  • Startseite
  • Aktuelles
    • Bioscience
    • Chemie
    • Physik
    • Auszeichnungen
    • ERC Grants
    • Rankings
    • TUM in Zahlen
    • Veranstaltungen
      • Tag der offenen Tür
        • 2024
      • Tag der Physik
        • Tag der Physik 2024
        • Tag der Physik 2023
      • Absolventinnen und Absolventenfeier der Chemie
        • Archiv
          • 2025 (Juli)
          • 2024
          • 2023
      • Absolventinnen- und Absolventenfeier Physik
        • Vorangegangene Abschlussfeiern Physik
          • Abschlussfeier Physik 2023 (Juni)
          • Abschlussfeier Physik 2023 (November)
          • Abschlussfeier Physik 2024 (Juni)
          • Absolventinnen- und Absolventenfeier Physik 2024 (November)
          • Absolventinnen- und Absolventenfeier Physik 2025 (Februar)
          • Absolventinnen- und Absolventenfeier Physik 2025 (Juni)
          • Absolventinnen- und Absolventenfeier Physik 2025 (Novemberi)
      • MChG-Kolloquium
      • Physik-Kolloquium
  • Professuren
  • Unsere School
    • Kontakt und Anfahrt
      • Was tun im Notfall?
    • Organisation
      • Organigramm
      • Fakultätsvorstand
      • Departments
      • School Office
        • Academic & Student Affairs
        • School Services
      • School Council
    • Professuren
      • TUM Junior Fellows
    • Graduiertenzentrum
    • Talent Management und Diversity
      • Kinderbetreuung
      • Familie
      • Notfall
      • Ukraine
      • Women in Chemistry
    • IT-Office
      • IT-Service 5100
      • IT-Service 5400
        • Mitarbeiter
        • Support
        • CIP Pool
        • Info
        • TUMcard
    • Zentrale Dienste
    • Öffentlichkeit
      • TUM Open Campus Day
      • studium MINT
      • Unitag an der TUM
      • Maus-Türöffner-Tag
        • Maus-Türöffner-Tag 2023
    • Historie
      • Chemie
        • Anorganische Chemie
        • Organische Chemie
        • Physikalische und Theoretische Chemie
        • Technische Chemie
      • Physik
  • Studium und Promotion
  • Forschung
    • Forschungsschwerpunkte
      • Accelerated Scientific Discovery
      • Biomolecular Engineering & Design
      • Clean Technology Solutions
      • Fundamental Forces and Cosmic Evolution
      • Fundamental Science for Health
      • Quantum Science & Technologies
    • Professional Profiles
    • Departments
    • Clusters
    • SFB und Transregios
    • TUM Forschungszentren
    • Forschungsinfrastruktur
    • Forschungscampus Garching
  • Intranet
  • Sitemap
  1. Startseite
  2. Aktuelles

Aktuelles

Dem Vermächtnis von Hans Fischer auf der Spur

Unsere Geschichte, Lehre, Forschung, Chemie | 01.12.2025

Aufarbeitung einer der größten Sammlungen von Pyrrolen und Porphyrinen

Gruppenfoto AK Eisenreich: (von links nach rechts). Denis Schuldeis, David Paprotta, Dr. Claudia Huber, Emil Scarpa, Prof. Dr. Wolfgang Eisenreich, Sophie Schorr, Sarah Ortner, Dr. Oluwafemi Ezekiel Kale, Dr. Christian Seitz. Bild: Dr. Robert Reich / TUM
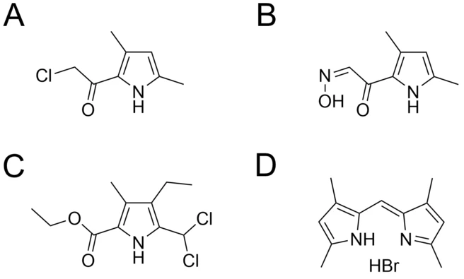
Strukturformeln der Verbindungen A–D. Vier Beispielverbindungen aus Hans Fischers einzigartiger Sammlung.
Verbindung A Cy11. Bild: Denis Schuldeis / TUM.
Verbindung Cy43. Bild: Denis Schuldeis / TUM.
Verbindung HF-A15. Bild: Denis Schuldeis / TUM.
Verbindung Cy50. Bild: Denis Schuldeis / TUM.

Fast ein Jahrhundert lang lag eine der weltweit größten Sammlungen synthetischer Pyrrole und Porphyrine im Dornröschenschlaf – nun wurde sie durch moderne Analysemethoden wieder zum Leben erweckt. Die Chemikalienbibliothek des Nobelpreisträgers Hans Fischer (1881–1945), aufbewahrt in Tausenden Glasampullen, wird systematisch analysiert – mit teilweise überraschenden Ergebnissen.

 

Historisches Erbe in Glasampullen

Hans Fischer, Pionier der Porphyrinchemie und Nobelpreisträger von 1930, synthetisierte mit seinen Mitarbeitern über 20.000 Pyrrol- und Porphyrinverbindungen. Diese waren entscheidend für das Verständnis von Blutfarbstoffen (Häm) und Pflanzenpigmenten (Chlorophyll). Hans Fischer arbeitete damals mit einfachen Mitteln: Elementaranalyse, Schmelzpunktmessung und Handspektroskope reichten ihm zur Strukturbestimmung.

Seine Substanzen wurden in Glasampullen aufbewahrt – und gerieten nach seinem Tod 1945 weitgehend in Vergessenheit. Im Jahr 2022 begann ein Team um Prof. Wolfgang Eisenreich aus der NAT, diese Sammlung zu digitalisieren und mit modernen Techniken wie NMR-Spektroskopie, GC-MS, FT-IR und UV/VIS-Spektroskopie neu zu analysieren.

 

Vom Lehrprojekt zur Publikation

Im Rahmen eines Lehrprojekts untersuchten Studierende der TUM School of Natural Sciences bisher rund 300 Proben. Besonders im Fokus standen dabei vier Substanzen, die nun vollständig neu charakterisiert wurden:

  • Verbindung A „Barat 1“ – ein Chloracetyl-Pyrrol, das erstaunlich stabil geblieben ist und heute als Ausgangsstoff für potenzielle Krebsmedikamente dient.
  • Verbindung B „Barat 2“ – ursprünglich als Hydroxyamin-Derivat beschrieben, entpuppte sich unter NMR und GC-MS als Oxim. Ein seltener Fall, bei dem Fischers ursprüngliche Strukturformel korrigiert werden musste oder das Produkt über die Jahre nicht stabil war.
  • Verbindung C „Friedrich A27“ – ein chlorierter Pyrrolester, der für Kondensationsreaktionen von großer Bedeutung war.
  • Verbindung D „Grom B30“ – ein symmetrisches Bi-Pyrrol, das nicht nur interessante photophysikalische Eigenschaften besitzt, sondern auch ein Ligand für metallorganische Farbstoffe sein kann.

Derzeit werden sämtliche Cyanopyrrole und Cyanoporphyrine aus der Sammlung systematisch analysiert. Auch bei diesen Daten zeigt sich eine erstaunlich hohe Stabilität und Reinheit der von Fischer beschriebenen Substanzen. Da die meisten dieser Cyanoverbindungen nicht kommerziell verfügbar sind, ist ihre Charakterisierung und Bereitstellung für Forschende im Bereich der Heterozyklen und Porphyrinchemie von großem Wert. Ihre Verwendung als Synthone bei chemischen Synthesen und als Wirkstoffe z.B. bei der photodynamischen Therapie von Krebserkrankungen wird durch diese Arbeiten nun ermöglicht.

 

Interview mit Prof. Wolfgang Eisenreich

Wie ist das Projekt entstanden?

Es handelt sich um ein „Herzensprojekt“, das wir im Rahmen unserer laufenden Forschungsarbeiten zur Entdeckung von neuartigen Wirkstrukturen und Wirkmechanismen perfekt integrieren können. Als langjähriger Vorsitzender der Hans Fischer Gesellschaft (ein gemeinnütziger Verein, der seit vielen Jahrzehnten die Erinnerung an Hans Fischer aufrecht erhält) war es mir ebenso wichtig, diese „Schatzgrube“ an einzigartigen Verbindungen aus der Zeit von Hans Fischer erstmalig mit modernen Methoden zu analysieren. Es hat sich gezeigt, dass in diesem Rahmen auch viele Studierende begeistert werden können. Es werden dabei von allen Präparaten Fotos und mikroskopische Bilder erstellt und anschließend spektroskopische Daten gewonnen. Alles wird digitalisiert und in einer öffentlichen Datenbank bereitgestellt. Auf diesem Weg wird das Erbe von Hans Fischer sichtbar und der Nachwelt erhalten.

Wie ist deine persönliche Beziehung zu Hans Fischer bzw. seinem Werk?

Hans Fischer ist für mich als Chemiker ein großes Vorbild. Sein Vermächtnis ist überragend, nicht nur dokumentiert durch den Nobelpreis, sondern auch durch die enorme Fülle seiner Publikationen und nicht zuletzt durch die einzigartige Chemikaliensammlung, die nun fast ein Jahrhundert in den „Katakomben“ der TUM überdauert hat.

Könntest du noch einmal die Besonderheiten seiner Arbeiten zu seiner Zeit zusammenfassen?

Hans Fischer kann als Pionier der Organischen Chemie im Bereich der Heterozyklenchemie bezeichnet werden, insbesondere bei der Synthese von Porphyrinen und verwandten Verbindungen. Hans Fischer war dabei nicht nur ein begnadeter Chemiker und Hochschullehrer am TUM (damals noch Technische Hochschule) Lehrstuhl der Organischen Chemie, sondern als Mediziner auch stets interessiert an der Anwendung seiner synthetisierten Verbindungen. Seine Arbeiten haben daher auch die moderne Medizinische Chemie geprägt und stehen am Anfang der Entwicklung von synthetischen Blutfarbstoffen oder der photodynamischen Therapie von Krebserkrankungen mittels geeigneter Porphyrine. 

Die Chemie von Hans Fischer ist bis heute ein wichtiges Arbeitsgebiet an der TUM School of Natural Sciences. Zahlreiche Arbeitsgruppen beschäftigen sich weiterhin mit der Synthese, der Spektroskopie und den Anwendungen von Stickstoffheterozyklen wie den Porphyrinen. Hans Fischer hat damit die „DNA“ unserer Hochschule geprägt. 

Die von Hans Fischer vorgelebte Interdisziplinarität mit einer klaren Zielsetzung - Grundlagenwissenschaft und angewandte Forschung zu verschränken - ist weiterhin eine unserer zentralen Leitlinien, wie sich auch am jüngst verliehenen Platz 1 im interdisziplinären Wissenschafts-Ranking für Deutschland zeigt. Die Erinnerung an Hans Fischer, gerade im Rahmen des hier vorgestellten Projekts ist daher für die ganze TUM-Familie von großer Bedeutung. Gerade für unsere Studierenden ist das Arbeiten mit den historischen Präparaten eine willkommene Möglichkeit, sich mit der Geschichte unserer Hochschule auseinanderzusetzen und dabei erste vertiefende Erfahrungen mit modernen analytischen Verfahren, synthetischen Methoden und medizinischen Anwendungen zu machen.

Was hat dich beim Erstellen der Publikation besonders überrascht?

Wir sind generell überrascht, dass die Präparate nunmehr fast hundert Jahre unversehrt überdauert haben. Ebenso überraschend ist, dass die von Fischer in den Originalarbeiten beschriebenen Strukturen fast immer durch die heute verfügbaren analytischen Werkzeuge bestätigt werden. Dies unterstreicht den großartigen chemischen Sachverstand von Hans Fischer und seinen Mitarbeitern, die teilweise hochkomplexe Strukturen mit den einfachen Methoden der damaligen Zeit richtig bestimmen zu können. Am meisten gefreut hat mich aber, dass wir im Rahmen dieses Projekts die Begeisterung vieler Studierender entfachen konnten.

 

Chemiegeschichte trifft Zukunftsforschung

Die Wiederentdeckung der Hans-Fischer-Sammlung ist nicht nur ein historischer Glücksfall, sondern auch eine Fundgrube für moderne Wirkstoffforschung. Viele der Verbindungen zeigen bioaktive Eigenschaften – z.B. gegen Bakterien oder als Enzyminhibitoren.

Die Gruppe um Prof. Wolfgang Eisenreich veröffentlicht alle Ergebnisse in einer stetig wachsenden frei zugänglichen Datenbank. Die Präparate selbst sollen in Zukunft interessierten Gruppen im Rahmen von Kooperationen mit der TUM zur Verfügung gestellt werden. So wird Hans Fischers Vermächtnis nicht nur bewahrt, sondern wissenschaftlich auf breiter Front weitergenutzt.

 

Publikation:

The legacy of Hans Fischer - revision of one of the largest libraries of pyrroles and porphyrins, Journal of Molecular Structure 1348, 2025, 143309, https://doi.org/10.1016/j.molstruc.2025.143309

 

Weitere Informationen und Links

  • Wolfgang Eisenreich: https://www.bio.nat.tum.de/membrane/eisenreich-group/
  • Link zur Datenbank: https://mediatum.ub.tum.de/1775557
  • Hans-Fischer-Gesellschaft: https://hans-fischer-gesellschaft.de
  • Hans Fischer – Nobelpreis 1930: https://www.nobelprize.org/prizes/chemistry/1930/fischer/biographical/ (in english)

 

Pressekontakt
communications(at)nat.tum.de 
Team-Website


◄ Zurück zu: Aktuelles
To top

TUM School of Natural Sciences

Technische Universität
München

Boltzmannstr. 10
85748 Garching

Wenn Sie Mitglied unseres akademischen Teams sind – sei es als Professor oder wissenschaftlicher Mitarbeiter – und Sie möchten, dass Ihre neuesten Errungenschaften und Erfolge hier präsentiert werden, bitten wir Sie herzlich, sich mit uns in Verbindung zu setzen (Email).

Unser NAT Wiki Blog

Aktuelle News aus der TUM

Ob aus Forschung, Studium oder Hochschulpolitik. Ob über Quantenphysik, Medizin oder Künstliche Intelligenz. Ob als Meldung, Podcast oder Magazin – bleiben Sie stets auf dem Laufenden über das Neueste von der Technischen Universität München.

NAT LinkedIn Kanal

LinkedIn

Folgen Sie der TUM:

Unsere Veranstaltungen

Ort
MIBE E.126
Im Rahmen von
Seminar des Atomistic Modeling Center
Kommentar

Speaker: Dr. Ivor Lončarić (Ruđer Bošković Institute, Croatia)

  • Zusatzinformationen
Ort
CH 26411
Im Rahmen von
Vortragsreihe: GDCh Kolloquium
Kommentar

Speaker: Dr. Jan Schäper, Bayerisches Landeskriminalamt

Ort
extern
Im Rahmen von
Vortragsreihe: Bayerisches NMR Zentrum (BNMRZ)
Kommentar

Speaker: Paulina Bartosińska-Marzec (U Warsaw), BNMRZ Seminarraum 1101, E.O.Fischer-Str. 2

Ort
MW 0001
Kommentar

Der Lehrstuhl für Anorganische und Metallorganische Chemie lädt herzlich zur Showvorlesung „ENDE ALLER TAGE – EXOTHERM 9.0“ ein! Eine außergewöhnliche Reise durch die Welt der Chemie und des Kosmos. Freuen Sie sich auf aufregende Experimente, jede Menge Energie und eindrucksvolle Erlebnisse, die wissenschaftliche Inhalte auf unterhaltsame und mitreißende Weise erlebbar machen.

  • Zusatzinformationen
  • Datenschutz
  • Impressum
  • Barrierefreiheit